 |
| |
 |
HOME |
 |
お問合せ |
 |
サイトマップ |
 |
弾塑性変形,粘塑性変形,摩擦現象の解析,さらには最新の有限弾塑性変形にわたって,世界最高の高精度な解析法を提供します。 |
|
|
|
 |
|
|
|
|
--所在地情報-- |
〒810-0055
福岡市中央区黒門 |
| 3丁目 13-1002号 |
| TEL |
: 092-781-7618 |
| FAX |
: 092-781-7618 |
| E-mai |
: hashiguchi.koichi.413
@m.kyushu-u.ac.jp |
| Mail |
: お問合わせフォーム |
|
|
| |
|
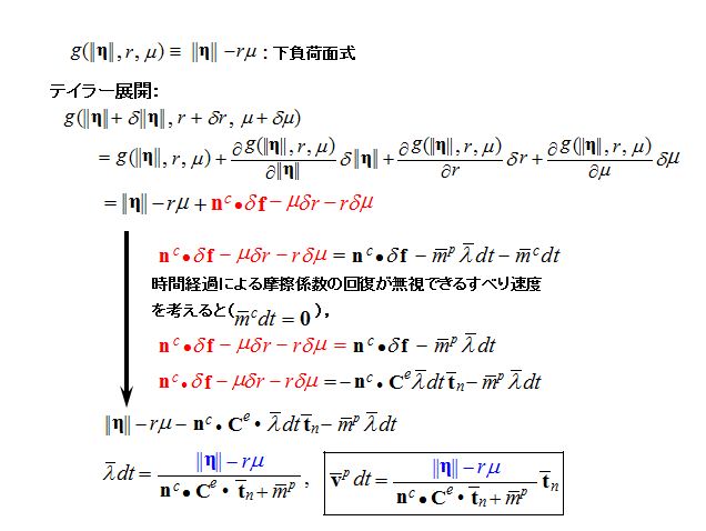
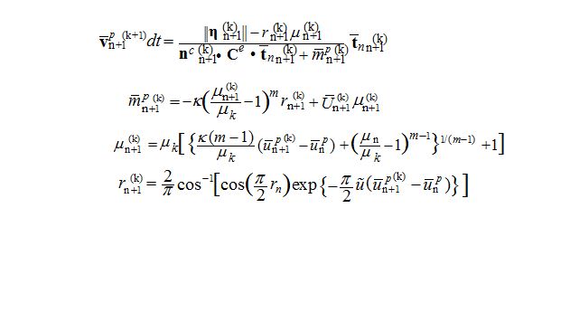
解析内容 1.下負荷面モデル 2.下負荷面リターンマップ 3.下負荷摩擦リターンマップ 4. 金属の計算結果図 5. 砂のサイクリックモビリティの計算結果
6.地盤構造物のFEM解析例 7. 出版書籍 8. Elastoplasticity Theory |
| |HOME |会社概要|お問合せ|サイトマップ|プライバシーポリシー| |
|
|